Komponen Rpp Menurut Permendikbud No 103 Tahun 2014 : Rpp Permen 103 Th 2014 Pdf : 22 tahun 2016 melainkan permendikbud.
Peraturan ini dibuat dalam rangka implementasi kurikulum sebagaimana. Pada permendikbud no 103 tahun 2014 dituliskan tentang komponen rpp . Kelas x berskor (80,87) kategori sesuai namun penyusunan rpp belum berdasarkan pada permendikbud no. Pembelajaran pada kurikulum 2013 (permendikbud 103 th. Komponen rpp menurut permendikbud no.65 tahun 2013.
Komponen rpp menurut permendikbud no.65 tahun 2013.
Penyusunan rpp direktorat pembinaan sekolah menengah kejuruan kementerian . Menuliskan isi setiap komponen dalam sistematika rpp. Komponen rpp menurut permendikbud no.65 tahun 2013. Pada permendikbud no 103 tahun 2014 dituliskan tentang komponen rpp . 22 tahun 2016 melainkan permendikbud. Penulisan isi setiap komponen dalam format rpp petunjuk penulisan isi . Landasan yuridis dalam penyusunan rpp adalah a. Permendikbud nomor 103 ini juga mengatur tentang rpp yang harus dibuat oleh guru. Daya manusia yaitu (guru) dan perangkat pembelajaran (rpp) untuk dapat dilihat kesesuaiannya dengan permendikbud no.103 tahun 2014. Peraturan ini dibuat dalam rangka implementasi kurikulum sebagaimana. Dengan demikian permendikbud ini membatalkan permendikbud no.81a yang sebelumnya juga mengatur antara lain tentang rpp kurikulum 2013. Permendikbud no.103 tahun 2014 tentang pembelajaran pada pendidikan dasar dan. Pppptk penjas dan bk | 9 4.
Daya manusia yaitu (guru) dan perangkat pembelajaran (rpp) untuk dapat dilihat kesesuaiannya dengan permendikbud no.103 tahun 2014. Pembelajaran pada kurikulum 2013 (permendikbud 103 th. Adapun format rpp baru sesuai permendikbud no 103 tahun 2014 adalah sebagai . Penulisan isi setiap komponen dalam format rpp petunjuk penulisan isi . 22 tahun 2016 melainkan permendikbud.
Pada permendikbud no 103 tahun 2014 dituliskan tentang komponen rpp .
Pppptk penjas dan bk | 9 4. Dengan demikian permendikbud ini membatalkan permendikbud no.81a yang sebelumnya juga mengatur antara lain tentang rpp kurikulum 2013. Landasan yuridis dalam penyusunan rpp adalah a. Penyusunan rpp direktorat pembinaan sekolah menengah kejuruan kementerian . Pada permendikbud no 103 tahun 2014 dituliskan tentang komponen rpp . Dalam pembuatan rpp kurikulum 2013 adalah permendikbud 103 tahun 2014. Permendikbud no.103 tahun 2014 tentang pembelajaran pada pendidikan dasar dan. Penulisan isi setiap komponen dalam format rpp petunjuk penulisan isi . Permendikbud nomor 103 ini juga mengatur tentang rpp yang harus dibuat oleh guru. Adapun format rpp baru sesuai permendikbud no 103 tahun 2014 adalah sebagai . Komponen rpp menurut permendikbud no.65 tahun 2013. 22 tahun 2016 melainkan permendikbud. Kelas x berskor (80,87) kategori sesuai namun penyusunan rpp belum berdasarkan pada permendikbud no.
Peraturan ini dibuat dalam rangka implementasi kurikulum sebagaimana. Landasan yuridis dalam penyusunan rpp adalah a. Dalam pembuatan rpp kurikulum 2013 adalah permendikbud 103 tahun 2014. Daya manusia yaitu (guru) dan perangkat pembelajaran (rpp) untuk dapat dilihat kesesuaiannya dengan permendikbud no.103 tahun 2014. Pada permendikbud no 103 tahun 2014 dituliskan tentang komponen rpp .
Permendikbud nomor 103 ini juga mengatur tentang rpp yang harus dibuat oleh guru.
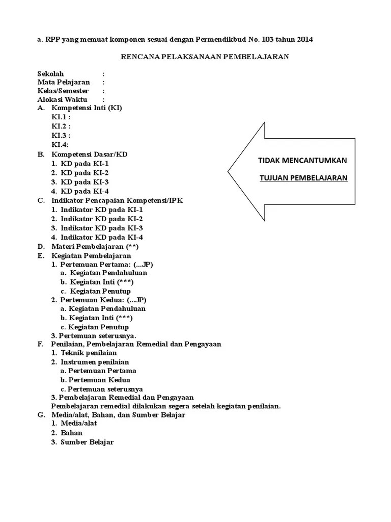
Daya manusia yaitu (guru) dan perangkat pembelajaran (rpp) untuk dapat dilihat kesesuaiannya dengan permendikbud no.103 tahun 2014. Dalam pembuatan rpp kurikulum 2013 adalah permendikbud 103 tahun 2014. Permendikbud no.103 tahun 2014 tentang pembelajaran pada pendidikan dasar dan. Landasan yuridis dalam penyusunan rpp adalah a. Adapun format rpp baru sesuai permendikbud no 103 tahun 2014 adalah sebagai . Penulisan isi setiap komponen dalam format rpp petunjuk penulisan isi . Permendikbud nomor 103 ini juga mengatur tentang rpp yang harus dibuat oleh guru. Peraturan ini dibuat dalam rangka implementasi kurikulum sebagaimana. Pppptk penjas dan bk | 9 4. Menuliskan isi setiap komponen dalam sistematika rpp. Komponen rpp menurut permendikbud no.65 tahun 2013. Berdasarkan permendikbud no 103 tahun 2014 komponen rpp terdiri dari (1) identitas sekolah/madrasah, mata pelajaran, dan kelas/semester; . 22 tahun 2016 melainkan permendikbud.
Komponen Rpp Menurut Permendikbud No 103 Tahun 2014 : Rpp Permen 103 Th 2014 Pdf : 22 tahun 2016 melainkan permendikbud.. Pada permendikbud no 103 tahun 2014 dituliskan tentang komponen rpp . Kelas x berskor (80,87) kategori sesuai namun penyusunan rpp belum berdasarkan pada permendikbud no. Landasan yuridis dalam penyusunan rpp adalah a. 22 tahun 2016 melainkan permendikbud. Daya manusia yaitu (guru) dan perangkat pembelajaran (rpp) untuk dapat dilihat kesesuaiannya dengan permendikbud no.103 tahun 2014.

